• 首页
  • 关于我们
    • 公司简介
    • 企业文化
    • 组织机构
    • 营销网络
    • 加入我们
  • 代理品牌
  • 产品中心
  • 新闻中心
    • 行业资讯
    • 精选干货
    • 公司动态
    • 职场管理
    • 促销活动
    • Apple Watch 7完全拆解 显示屏变大真相 | 飞捷士科技
  • 资源中心
    • 视频下载
    • 资料下载
    • 软件下载
  • 荣誉资质
    • 资质证书
    • 服务介绍
    • 质量体系
  • 联系我们
logo
  • 首页
  • 关于我们
    • 公司简介
    • 企业文化
    • 组织机构
    • 营销网络
    • 加入我们
  • 代理品牌
  • 产品中心
  • 新闻中心
    • 行业资讯
    • 精选干货
    • 公司动态
    • 职场管理
    • 促销活动
    • Apple Watch 7完全拆解 显示屏变大真相 | 飞捷士科技
  • 资源中心
    • 视频下载
    • 资料下载
    • 软件下载
  • 荣誉资质
    • 资质证书
    • 服务介绍
    • 质量体系
  • 联系我们
中文 ENGLISH

行业资讯

首页      行业资讯

MS32F031霍尔FOC电机控制方案介绍(下)

2022-06-22
介绍目录

1. 硬件电路原理

2. FOC控制原理

3. 空间矢量调制(SVPWM)

4. 电流采样方式选择

5. 角度估算器

6. 霍尔FOC程序

4. 电流采样方式选择

图片

ADC触发源

ADC上升沿触发采样,采用的TIM1-CH4的触发源。

图片

三电阻采样时刻

图片

三电阻采样时刻

图片

低频状态,使用中心点采样

图片

高频状态,改变电流采样点

图片

三电阻采样时刻

图片

扇区转换和临近零矢量,采样不准确

5. 角度估算器

图片

120°HALL电平状态

图片

120°及60°HALL区别

图片

HALL信号及角度关系

矢量控制需要连续的位置信号,需要对角度进行细分,如下图所示:

图片

基于HALL信号的角度细分

每个60°电角度hall扇区角速度可以通过公式:

图片

求出,在下一个hall的扇区,可以通过角速度对时间积分求得:

图片

6. 霍尔FOC程序

图片

DMA采样完成中断中执行FOC控制程序

根据Clark变换原则 f(α,β) = (2/3)*f(A,B,C),推到出:

iα=iA

iβ=√3/3 *(iA+2*iB)

图片

图片
图片

根据Park变换原则,装换成Iq/Id

图片
图片

根据Park变换原则,装换成Ua/Uβ

图片
图片

A,B,C对应Uref1,Uref2,Uref3,

正表示1,负表示0;N=A+2B+4C

图片

图片
图片
图片
图片

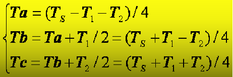
已知Ua和Uβ推到出U4和U6,再推导出T4和T6,根据PWM使用上升下降的计数方式,得到下面公式:

图片

图片
图片
图片

图片
图片

图片
图片
图片
图片

全文完


回列表
  • 微信联系

    微信扫描二维码
    了解产品

  • 在线咨询
  • 电话咨询

    联系我们

    18926414877

  • 隐藏

关于我们

  • 公司简介
  • 企业文化
  • 组织机构
  • 营销网络
  • 加入我们

代理品牌

  • CS(华润华晶)
  • RT(立锜)
  • SL(士兰微)
  • ON(安森美)
  • Infineon(英飞凌)

产品中心

  • 立锜/RICHTEK
  • 华晶/CS
  • 特诺/TIONER
  • 士兰微/SILAN
  • 安森美/ON

新闻中心

  • 行业资讯
  • 精选干货
  • 公司动态
  • 职场管理
  • 促销活动

资源中心

  • 视频下载
  • 资料下载
  • 软件下载

荣誉资质

  • 资质证书
  • 服务介绍
  • 质量体系

联系我们

友情链接: 飞捷士智能 特诺 特诺半导体 飞捷士科技新官网
深圳市飞捷士科技有限公司   Copyright © WPG Holdings All rights reserved. 备案号:粤ICP备10240301号